意外怀孕可能会对女性及其家庭的健康、经济状况、教育和职业发展、心理健康以及社会福祉产生深远影响,增加经济和情感负担,影响女性的长期福祉,以及儿童的健康和成长环境。每年6月9日是「世界女性生殖健康日」,旨在呼吁全社会关注女性健康,提醒女性提高自身健康意识和自我保健能力,进而带动中国女性及整个家庭健康意识和健康素质的全面提高。
全球范围内,意外怀孕、HIV感染和生殖器疱疹(HSV-2)的发病率居高不下,对性健康构成重大挑战,尤其是在预防措施使用不足或难以获取的地区,迫切需要一种能够同时预防HIV、HSV-2和意外怀孕的多用途预防技术(MPT)。

鉴于此,北卡罗来纳州立大学S. Rahima Benhabbour、亚特兰大疾病控制和预防中心James
Smith研究团队采用先进的连续液体界面生产(CLIP™)3D打印技术制造,使用基于生物相容性的硅酮-聚氨酯树脂。宫内节育器(IVR)装载了抗HIV药物(Dapivirine,
DPV)、抗疱疹药物(Pritelivir, PTV)和避孕药物(Levonorgestrel, LNG)。
1.主要内容

如图1所示,3D打印的基于SIL
30树脂的蜂窝状宫内节育器(IVR)的内部结构,包括人类尺寸和猕猴尺寸的IVR设计,突出了它们的外部直径(OD)、横截面(CS)以及内部蜂窝几何结构,这些设计特征对于药物释放动力学和IVR的特定表面积(SSA)至关重要,从而确保了在不同尺寸的IVR之间可以实现药物加载和释放动力学的直接比较。

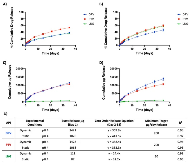
3D打印的SIL 30蜂窝状人类尺寸宫内节育器(IVR)在模拟阴道液(SVF)中,分别在静态和动态(120
rpm)条件下,35天内每种活性药物成分(API)的累积百分比释放和累积微克药物释放的体外药物释放动力学,揭示了所有三种API在初始突释后展现出的持续零级释放特性。

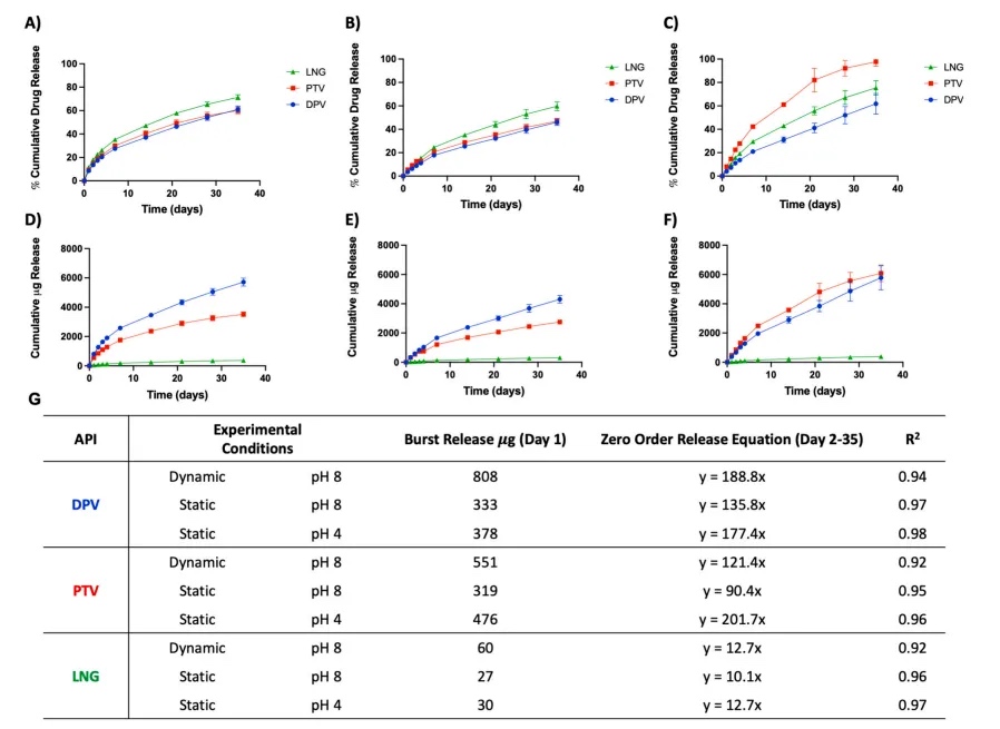
在不同pH值(4和8)和静态及动态(120 rpm)条件下,3D打印的SIL
30蜂窝状猕猴尺寸宫内节育器(IVR)在35天内的体外药物释放动力学,包括每种活性药物成分(API)的累积百分比释放和累积微克药物释放,结果表明,无论pH值如何,IVR均表现出类似的释放曲线,且在动态条件下(pH
8)所有API的初始突释量更高,但随后的每日释放率在静态和动态条件下相似,表明了IVR设计对于药物释放行为的精细调控能力。

在4°C条件下储存1、3和6个月的IVR片段中三种活性药物成分(DPV、PTV和LNG)的重量百分比变化,结果显示所有三种API在储存3个月后保持稳定,但在6个月后重量百分比显著下降,表明了药物在储存过程中的稳定性和潜在降解情况,特别是对于PTV,其在与DPV或LNG组合时表现出更明显的降解。

在猕猴模型中,携带DPV、PTV和LNG的多用途预防技术(MPT)IVR在体内使用28天后,三种药物成分在血浆、阴道液(宫颈近端和远端)以及阴道组织中的药物浓度变化,结果表明,所有APIs在28天的研究期间内保持了相对恒定的药物浓度,并且在IVR移除后两天,药物浓度降至低于定量限,证实了MPT
IVR在猕猴中的有效性和可控性,以及在必要时终止治疗的能力。

在猕猴中使用3D打印的多用途预防技术(MPT)宫内节育器(IVR)前后,22种阴道细胞因子和趋化因子的测量结果。这些测量结果在放置IVR之前(第0天)、IVR在位期间(第3至28天)以及IVR移除后(第30天)进行了比较。结果显示,在IVR放置期间或移除后,这些细胞因子和趋化因子的水平没有统计学上的显著变化,表明MPT
IVR在猕猴模型中具有良好的局部安全性和耐受性。
2.全文总结
本文描述了一种创新的3D打印多用途预防技术(MPT)宫内节育器(IVR),旨在预防HIV、HSV-2感染和意外怀孕。该IVR采用SIL
30树脂制造,集成了抗HIV药物Dapivirine、抗HSV-2药物Pritelivir和避孕药物Levonorgestrel。研究评估了IVR在模拟阴道液中的体外药物释放动力学、稳定性、安全性和体内药物释放特性。结果显示,IVR在35天内能够持续释放所有三种药物,并且在猕猴模型中具有良好的耐受性和安全性,药物浓度维持在保护水平以上。这项研究证明了3D打印技术在制造具有复杂几何结构的IVR方面的潜力,并为开发新的预防HIV、HSV-2和意外怀孕的策略提供了科学依据。
文章来源:
https://doi.org/10.1016/j.jconrel.2024.10.059

0 留言