随着桌面聚合物领域的扩张,工业增材制造市场重现增长态势

频道:专家解读 日期: 浏览:7

       德国咨询公司AMPOWER发布的《AMPOWER报告2026》显示,工业增材制造市场在2024年停滞之后,于2025年恢复增长,市场规模超过110亿欧元(约合127亿美元)。其最新的年度市场研究指出,去年该行业增长率为5.6%,这主要得益于零件生产需求的增强和材料消耗量的增加。尽管这一结果低于前一年的预测,但该公司将未来五年总市场的长期年增长率预测略微上调至13.5%。

2025年,全球增材制造行业增长了5.6%。图片来源:AMPOWER

2025年,全球增材制造行业增长了5.6%。图片来源:AMPOWER

      低成本设备在此次复苏中扮演了核心角色。低价位机器细分市场的销量有所上升,尽管该品类的收入几乎持平。由于研究以欧元进行核算,疲软的美元汇率降低了计算出的增长率。海关政策的不确定性也影响了买家的投资决策,特别是考虑到美国作为增材制造系统和材料的主要市场地位。

超过80%的工业增材制造(AM)设备来自美国、中国和德国。图片来源:AMPOWER

超过80%的工业增材制造(AM)设备来自美国、中国和德国。图片来源:AMPOWER

       报告一个主要的新关注点是价格低于1万欧元(约合11,546美元)的桌面聚合物系统。该细分市场在2025年增长了30%以上,并且正获得工业相关性。企业越来越多地建立大规模打印农场,而不是仅仅依赖昂贵的单个工业系统。总部位于汉堡的AMPOWER公司的合伙人Matthias Schmidt-Lehr表示:“我们看到市场在2024年持平后重获显著动力。桌面细分市场的发展尤其令人兴奋;它不再仅限于业余爱好者,而是日益满足工业需求,并挑战传统的分类。”

      金属增材制造在整合的同时,也呈现出持续的分化态势。2025年,十大金属粉末床熔融系统制造商约占全球收入的78.3%,低于一年前的80%。与此同时,新的供应商,特别是来自中国的供应商,持续进入市场。国防与航天以及消费品行业仍是金属增材制造的主要增长动力。过去四年中,军事原始设备制造商和初创公司录得超过20%的增长率,他们利用该技术解决供应链问题并生产无人机和下一代组件。

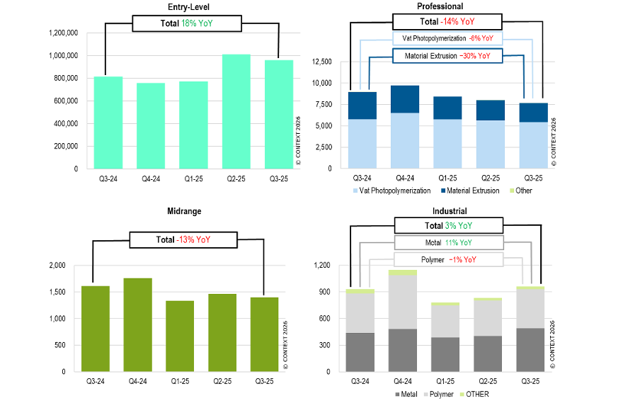
按价格等级划分的全球3D打印机季度出货量(单位)及趋势(注意不同比例尺)

按价格等级划分的全球3D打印机季度出货量(单位)及趋势(注意不同比例尺)。图片来源:CONTEXT

      2026年版报告的研究基于对300多位参与技术和商业活动的增材制造经理和总监的个人访谈。2025年周期的数据收集超过了5万个数据点,而参与调查的设备原始设备制造商约占全球装机量的90%。除了供应商的反馈,该分析特别重视用户访谈,以支持从需求角度看待未来市场发展。报告可通过其专属网站在线获取PDF版本。

增材制造的增长正在不均衡地恢复。

        市场情报公司CONTEXT近期的硬件数据显示,增材制造需求正在市场的两端而非整体范围内复苏。2025年第三季度,价格在2500美元或以下的入门级系统出货量同比增长18%,而价格超过10万美元的工业机器增长了3%,标志着高端市场在长期放缓后恢复增长。这种反弹仍然高度集中:金属粉末床熔融系统出货量增长25%,中国的工业系统出货量增长22%,而航空航天、国防和中国的国内制造业贡献了大部分增长动力。相比之下,中端和专业类别的出货量继续以两位数速率下降,这强化了复苏的不均衡性。

       《Wohlers报告2026》执行摘要的发现也指出了价值创造领域的类似转变。2025年全球增材制造收入达到242亿美元,增长10.9%,其中服务贡献了117亿美元,增长15.5%,而打印机销售和服务仅增长3.6%,至62亿美元。最终用途零件生产在受访用户的应用中占39.8%,表明在制造领域的应用更加深入,但回报仍不均衡,只有39%的用户持续报告积极成果。这种分布有助于厘清最新的市场数据:增长不再简单地由机器销售定义,而是取决于系统的使用方式、需求的集中领域,以及它们是否解决了生产和供应链的限制。中国3D打印网编译文章!



0 留言

评论

◎欢迎参与讨论,请在这里发表您的看法、交流您的观点。