2025年5月14日,来自克兰菲尔德大学焊接与增材制造中心的一个研究小组证明:通过控制冷丝气体保护金属电弧焊 (CW-GMA) 增材制造中的层间温度 (IPT) 可以提高工艺生产率,同时不影响超级双相不锈钢 (SDSS) 零件的机械性能。这项研究以题为“Impact of interpass temperatureon the
microstructure and mechanical properties of super duplex stainless
steelin CW-GMA additive manufacturing”的论文发表在《制造工艺杂志》上
在本研究中,系统评估了75°C、200°C和350°C三种IPT设置对线定向能量沉积过程中UNSS32906 SDSS微观结构和机械性能的影响。尽管在热积累和晶粒粗化方面存在显著差异,但结果显示,这些设置对相平衡或拉伸强度的影响微乎其微。

△a) CW-GMA 实验装置。b) CW-GMA 线和热电偶位置的图示。

△不同层间温度下,SDSS CW-GMA 壁面的 EBSD 分析逆极图。低倍放大:a) 75 ◦C,c) 350 ◦C,e) 200 ◦C。图片来自 Poulain 等人,《制造工艺杂志》。
平衡热量和性能
超级双相不锈钢因高强度和耐腐蚀性而备受推崇,这些特性源于铁素体和奥氏体相比例大致相等。然而,在增材制造过程中保持这种平衡仍然是一项挑战,尤其是在波动的热条件下。CW-GMA工艺将冷丝送入气体保护金属电弧装置,可以更好地控制热输入,而热输入是SDSS相稳定性的关键因素。
虽然更高的IPT导致更高的热暴露量,并在熔合线附近形成细小的二次奥氏体,但总体铁素体-奥氏体比例保持不变。拉伸试验显示,所有IPT的极限强度约为810 MPa,超过了常规加工SDSS的常见报告值。硬度水平也保持稳定,平均约为300 Hv。

△a)SDSS CW-GMA 室温拉伸结果;a) 应力-应变曲线;b) 不同层间温度下的平均 UTS、YS和伸长率结果。图片来自 Poulain 等人,《制造工艺杂志》。
对工业应用的影响
重要的是,将层间温度 (IPT) 从 75 °C 提高到 350 °C,可将层间停留时间从 20
多分钟缩短至仅 3 分钟,从而显著提高沉积速度,且不会降低机械完整性。这一发现表明,更高的层间温度(IPT) 有助于扩大 CW-GMA
增材制造技术的应用,使其适用于更大的结构部件,例如用于海上、石化或能源基础设施的结构部件。
作者总结道:“优化层间温度为更高效的制造工作流程提供了途径,同时保留了 SDSS的性能特征。”
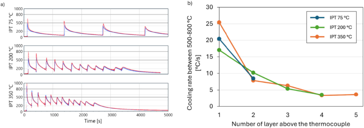
△a)热电偶的热循环;b) 不同层间温度条件下,每道次从 800 ◦C 的平均冷却速率。图片来自 Poulain 等人,《制造工艺杂志》。
未来方向
研究人员承认,孔隙率仍然是影响延展性的一个因素,尤其是在较高的IPT下。正在进行的工作将探索气体屏蔽改进和工艺内变形技术,以减少内部孔隙。CW-GMA 持续成为一种多功能的金属增材制造方法,尤其适用于超级双相不锈钢等高难度合金。随着各行各业寻求更具可扩展性的解决方案,像 IPT 这样的热参数微调可能成为平衡速度、结构和强度的关键。
热控制成为金属增材制造的重点
温度管理在金属增材制造的发展中继续发挥着关键作用,精确控制热输入和冷却速率是确保微观结构稳定性和机械性能的关键。在整个行业中,新的工具和技术正在涌现以应对这一挑战。WAAM3D最近推出了MiniWAAM系统,该系统将先进的热监控和多材料兼容性集成到基于电弧的增材制造工作流程中。
同时,像 FLOW-3D AM 这样的仿真软件正在帮助工程师建模和优化熔池动力学,从而更深入地了解温度如何影响凝固和缺陷形成。与此同时,麻省理工学院的研究人员开发了一种后处理方法,可以改变金属微观结构,从而显著提高耐热性和耐久性。这些发展反映出业界越来越关注温度,将其作为确保金属
3D 打印技术的质量、可靠性和可扩展性的核心变量。

0 留言